2.1.3.1. BIBLIOTECA UNIVERSITÁRIA MARIO OSORIO MARQUES (BUMOM)

Download .doc Download .pdf
Voltar

Gerentes:

Eleda Passinato Sausen - de 02/02 a 17/04/2017

Vivian Regina da Silva Stroschein - Gerente Administrativa Interina de 18/04 a 31/05/2017

Aline Morales dos Santos Theobald - a partir de 01/06/2017

A Biblioteca Universitária Mario Osorio Marques é um órgão de apoio ao ensino, à pesquisa e à extensão, vinculada à Vice-Reitoria de Graduação, e tem como missão “Promover o acesso e a disseminação da informação, através de ações de cunho social, cultural, educacional e científica, para a comunidade acadêmica e regional”.

A Biblioteca é responsável pelo contínuo provimento, processamento técnico, manutenção, atualização e divulgação do seu acervo e da produção científica e cultural da Universidade. Dispõe de amplo acervo de livros, folhetos, periódicos, CD-ROMs e outros meios de informação, nas mais variadas áreas do conhecimento, priorizando as áreas dos cursos ministrados na Instituição.

O catálogo disponível para consulta na Internet permite efetuar pesquisas aplicando diversos filtros de busca. O sistema disponibiliza diversas informações sobre o item pesquisado, como por exemplo: disponibilidade de empréstimos, reservas, renovações, número de exemplares e localização dos materiais. Qualquer documento do acervo pode ser localizado por meio de consulta online.

Integram a estrutura cinco Bibliotecas, localizadas na Sede Acadêmica, nos Campi de Ijuí, de Panambi, de Três Passos e de Santa Rosa, sendo que a Biblioteca Universitária Mario Osorio Marques presta assessoria técnica ao Museu Antropológico Diretor Pestana e à Biblioteca Mário Quintana da EFA – Centro de Educação Básica Francisco de Assis.

No ano de 2017, a Biblioteca Universitária Mario Osorio Marques deu continuidade à ampliação do seu acervo Virtual/Digital com a assinatura da Revista dos Tribunais Online, além da manutenção mensal de novos documentos na Biblioteca Digital da UNIJUÍ.

A Revista dos Tribunais possui mais de 40 anos de conteúdo doutrinário com a credibilidade e tradição reconhecidas. Disponibiliza artigos nacionais e estrangeiros dos mais famosos e conceituados doutrinadores, publicados na revista dos tribunais e nas revistas especializadas. Os conjuntos de preciosidades doutrinárias impulsionarão o leitor a uma abrangente interpretação das questões abordadas. Trata-se de uma verdadeira enciclopédia jurídica que, em razão de sua excelência, oferece o conhecimento necessário para a solução de qualquer problema relacionado à matéria, contribuindo para o sucesso da sua causa. A pesquisa pode ser feita, inclusive, pelo título da obra. Diversos pareceres trazem a visão e o raciocínio de renomados juristas sobre inúmeras questões do Direito. Conteúdo atualizado diariamente.

A Biblioteca Virtual é composta por uma seleção de links, sites, portais e home pages, com conteúdo científico ou acadêmico, voltados aos cursos oferecidos pela Instituição. Seu objetivo é selecionar, organizar, atualizar e avaliar as diferentes fontes de informações dispersas na Internet, criando uma ferramenta de busca especializada em diversas áreas do conhecimento.

A Biblioteca Digital da UNIJUÍ tem como principal objetivo preservar a memória institucional, divulgar e disponibilizar a Produção Intelectual gerada no âmbito da Universidade, através da publicação eletrônica, proporcionando ampla visibilidade e acessibilidade aos documentos, bem como às suas coleções históricas e a outros documentos de relevância para a Instituição, que fazem parte de suas coleções, embora não produzidos por ela.

A Biblioteca Digital traz benefícios para o processo de ensino e de pesquisa da UNIJUÍ, pois é um espaço aberto a todos os usuários que acessam a Internet, sem restrição ou discriminação a qualquer indivíduo que desejar utilizá-la. Esta permite que a informação circule mais rapidamente, originando assim efetivas possibilidades aos investigadores, docentes e discentes de poderem colaborar mais facilmente em termos educacionais.

A Biblioteca Universitária Mario Osorio Marques vem ampliando as capacitações aos usuários ministradas pelos bibliotecários, com o objetivo de intensificar a utilização dos recursos informacionais disponíveis para a comunidade acadêmica.

Um dos principais objetivos é capacitar a comunidade acadêmica para a utilização do Portal de Periódicos da Coordenação de Aperfeiçoamento de Pessoal de Nível Superior (CAPES), para o qual a Biblioteca organizou um cronograma de capacitações presenciais. Estas capacitações são imprescindíveis para a comunidade acadêmica, uma vez que é a partir delas que os usuários passam a ter conhecimento dos recursos informacionais que a Universidade disponibiliza dando suporte às atividades de Ensino, Pesquisa e Extensão.

A Biblioteca Universitária Mario Osorio Marques busca dar continuidade à qualificação dos serviços direcionados aos usuários (estudantes, professores e funcionários), tais como: empréstimos, devolução, renovação via web, renovação via tele renovação, reserva de materiais via web e pesquisa, facilitando a vida do usuário.

A aquisição de materiais bibliográficos é administrada pela Biblioteca Universitária Mario Osorio Marques dentro da cota orçamentária anual estabelecida na Resolução das Diretrizes Orçamentárias e no Orçamento Programa. Esta recebe o encaminhamento das necessidades de aquisições de materiais bibliográficos dos coordenadores de curso, faz o levantamento das quantidades de exemplares existentes, levando em consideração o Projeto Pedagógico dos cursos e os critérios estabelecidos pelo MEC. Após a avaliação, sugere a quantidade de exemplares a serem adquiridos, faz a cotação de preços e envia o relatório à Vice-Reitoria de Graduação para aprovação das compras. Após a aprovação pela Vice-Reitoria de Graduação, a Biblioteca efetua a compra.

Resultado sintético da pesquisa de satisfação dos usuários da Biblioteca Universitária Mario Osorio Marques em 2017

Alternativas Percentual
Muito Satisfeito + Satisfeito 93,26%

Insatisfeito + Muito Insatisfeito

6,74%

Comparando os resultados das pesquisas de satisfação dos usuários, percebe-se que os esforços para a melhoria dos serviços prestados pela Biblioteca foram positivos, pois o índice de satisfação de 2014 foi de 70,00%, em 2015 o índice de satisfação foi 92,4%, em 2016 o índice de satisfação foi 89,34%.

Acervo impresso e VIRTUAL/digital

A CAPES (Coordenação de Aperfeiçoamento de Pessoal de Nível Superior) disponibiliza acesso remoto ao Portal de Periódicos para os professores, pesquisadores, estudantes de pós-graduação, graduação e técnicos das instituições de ensino e pesquisa vinculados aos participantes do Portal, por meio da rede da Comunidade Acadêmica Federada (CAFe). A UNIJUÍ é uma das integrantes da rede CAFe, a qual assegura o acesso integral ao Portal, 24 horas por dia.

 

Projetos

Infraestrutura

Em 2018 pretende-se implementar o projeto de revitalização das Bibliotecas, principalmente, do Campus Ijuí.

Capacitações

Capacitações ministradas pela equipe de Bibliotecárias aos professores, funcionários e estudantes para uso da biblioteca;

Capacitações ministradas pela equipe de Bibliotecárias aos colaboradores da Biblioteca Universitária Mario Osorio Marques e aos usuários em geral para utilização das Bases de Dados Virtuais e da Rede CAFe da CAPES;

Programa de ambientação para novos colaboradores, desenvolvido pela área de Recursos Humanos;

Participação das Bibliotecárias no encontro dos Grupos de trabalho – Comung;

Capacitação sobre a Biblioteca Digital;

Capacitação Revista dos Tribunais;

Capacitação EBSCO.

ATIVIDADES

A seguir, apresenta-se as descrições das atividades das bibliotecas juntamente com alguns gráficos e suas análises, retratando a evolução do acervo, dos investimentos na coleção, número de usuários, serviços prestados e as capacitações oferecidas à comunidade acadêmica em 2017.

POLÍTICA DE AQUISIÇÃO

O ano de 2017 foi um ano de poucos investimentos no acervo das Bibliotecas da UNIJUÍ, pois os cursos estão revisando os seus projetos pedagógicos.

1. Fatores que influenciaram na aquisição

2. Acervo Bibliográfico

Na análise, do quadro a seguir, é visualizada a distribuição dos recursos na compra de obras como: livros, normas técnicas, incluindo a assinatura de periódicos e bases de dados.

Evolução do acervo de 2010 a 2017
Ano 2010 2011 2012 2013 2014 2015 2016 2017
Total de Exemplares 346.353 356.789 359.578 358.172 362.729 369.526 373.669 359.819

 

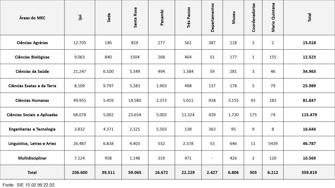
A Biblioteca Universitária Mario Osorio Marques possui em seu acervo 359.819 exemplares de materiais bibliográficos divididos entre as diversas áreas do conhecimento, conforme quadros a seguir.

 

Quadro geral de títulos de materiais bibliográficos por Biblioteca e por grande área do MEC em dezembro de 2017
Quadro geral de títulos de materiais bibliográficos por Biblioteca e por grande área do MEC em dezembro de 2017
Quadro geral de títulos existentes no acervo de materiais bibliográficos nas Bibliotecas da UNIJUÍ por tipo de material e por Biblioteca em dezembro de 2017
Quadro geral de títulos existentes no acervo de materiais bibliográficos nas Bibliotecas da UNIJUÍ por tipo de material e por Biblioteca em dezembro de 2017
Quadro geral de exemplares de materiais bibliográficos por Biblioteca e por grande área do MEC em dezembro de 2017
Quadro geral de exemplares de materiais bibliográficos por Biblioteca e por grande área do MEC em dezembro de 2017
Quadro geral de exemplares existentes no acervo de materiais bibliográficos nas diversas Bibliotecas da UNIJUÍ por tipo de material e por Biblioteca em dezembro de 2017
Quadro geral de exemplares existentes no acervo de materiais bibliográficos nas diversas Bibliotecas da UNIJUÍ por tipo de material e por Biblioteca em dezembro de 2017

4. Materiais Eletrônicos

Os materiais eletrônicos são, também, suportes cada vez mais utilizados pelos usuários, totalizando 8.491 exemplares, destes 4.198 são títulos da Biblioteca Digital, sendo que em 2017 foram incluídos 774 novos títulos na Biblioteca Digital.

MATERIAIS EXEMPLARES 2017
VÍDEO 463
CD-ROM 2.669
CD-Música 181
CD-Periódico 388
CD-Base de Dados 12
DVD 383
DISQUETE 197
Títulos na Biblioteca Digital 4.198
8.491

5. Teses, Dissertações, Monografias e Relatórios

Faz parte desses materiais a produção acadêmica da UNIJUÍ nos mais diversos Programas de Pós-Graduação Lato e Stricto Sensu e de Graduação.

 

MATERIAIS EXEMPLARES
TESES 554
DISSERTAÇÕES 2.567
MONOGRAFIAS 4.254
RELATÓRIOS 543

SERVIÇOS PRESTADOS

A Biblioteca Universitária Mario Osorio Marques tem como função maior estabelecer o contato dos usuários com a informação, contribuindo para a melhoria do ensino, da pesquisa e da extensão. Para auxiliar nesta busca pelo conhecimento, a Biblioteca conta com uma série de serviços, que visam prestar um melhor atendimento, de modo a atender a estas necessidades de informação.

1) CONSULTAS VIA WEB

1.1 Consultas via Web

Durante o ano de 2017 foram efetuadas 101.297 consultas na base do SIE.

ANO 2014 2015 2016 2017
Número Consultas WEB 114.535 130.198 114.873 101.297
Número de consultas via WEB na base do SIE

Fonte: SIE 15.03.99.13.

Observa-se, no gráfico acima, uma redução do número de consultas via web em relação ao ano anterior. Esta redução, apesar do trabalho de divulgação dos serviços da Biblioteca e das facilidades de pesquisas via Internet, deve-se à redução do número de estudantes.

 

1.2 Acessos à Biblioteca Digital da UNIJUÍ

Os acessos a Biblioteca Digital da UNIJUÍ vêm crescendo nos últimos anos, no ano de 2017 totalizaram 201.267 ao passo que em 2016 foram 165.353 acessos. O aumento de 35.914 acessos no ano de 2017 foi resultado da divulgação dos serviços da Biblioteca Universitária Mario Osorio Marques.

Número de acessos a Biblioteca Digital da UNIJUÍ

Fonte: Google Analytics.

2) EMPRÉSTIMOS

Os usuários da Biblioteca Universitária Mario Osorio Marques, exceto os da Comunidade Externa, podem retirar materiais bibliográficos mediante a apresentação do Cartão Institucional de Identificação (CI) em seu próprio nome. O Sistema da Biblioteca possibilita que o usuário requisite, reserve e devolva as obras em qualquer uma das Bibliotecas da UNIJUÍ.

Empréstimo e renovações de materiais bibliográficos em 2017

Os empréstimos e renovações de materiais bibliográficos em 2017 totalizaram 178.891, sendo que em 2016 o total de empréstimos e renovações foi de 209.746. Houve uma redução do número de empréstimos neste ano de 2017 em relação ao ano de 2016, isto se deve às facilidades de pesquisa via bases de dados virtuais, apesar dos esforços que a Biblioteca vem realizando a fim de incentivar/capacitar os estudantes para o uso da Biblioteca, bem como, a aplicação dos recursos financeiros para ampliar e atualizar o acervo.

O SIE possibilita que seus usuários requisitem, reservem e devolvam as obras em qualquer uma das Bibliotecas da UNIJUÍ.

O empréstimo entre bibliotecas é considerado um recurso facilitador de acesso à informação e representa uma integração entre as bibliotecas, porém os títulos mais emprestados de uma biblioteca estão em quantidade inferior na outra, manifestando a necessidade da aquisição de mais exemplares e assim atender a demanda local.

Total de empréstimo e renovações - 2017

Fonte: 15.03.99.03.

3) CIRCULAÇÃO DE USUÁRIOS

A circulação ou movimentação de usuários nas bibliotecas para leitura, estudo ou pesquisa em 2017 foi a seguinte:

Circulação de Usuários na Biblioteca Universitária Mario Osorio Marques em 2017
Circulação de Usuários na Biblioteca Universitária Mario Osorio Marques em 2017

Em 2017, a Biblioteca do Campus Ijuí foi a que apresentou o maior fluxo na circulação de usuários em seu ambiente, com uma circulação de 130.534 entre empréstimos, devoluções e renovações. Em segundo lugar a Biblioteca do Campus Santa Rosa com 35.918 usuários, seguida da Biblioteca da Sede Acadêmica, com 31.424, possivelmente por estarem inseridas nos Campus com maior número de estudantes e professores.

Total de circulação - 2017 Fonte: SIE 15.03.99.10.
Usuários que utilizaram a Biblioteca nos últimos quatro anos, por grupo de usuários
Grupo de Usuários 2014 2015 2016 2017
Estudantes de Graduação 8.049 7.153 6.669 5.819
Estudantes de Pós-Graduação 658 684 595 501
Alunos EFA 337 297 361 320
Professores 399 342 319 286
Comunidade Externa 47 17 15 -
Egressos 372 328 284 277
Técnicos-Administrativos 292 225 183 170
Total 10.154 9.046 8.426 7.373

Fonte: SIE 15.03.99.11.

Nos últimos três anos houve uma redução do número de leitores que utilizou as Bibliotecas em consequência da redução do número de estudantes, apesar do trabalho de divulgação dos serviços prestados pela Biblioteca e das facilidades de pesquisa via Internet.

Leitores que usaram a Biblioteca - 2017

4) PROCESSAMENTO TÉCNICO E FÍSICO

Para garantir uma produtividade eficiente no processamento técnico foi adotada a recomendação do MEC de catalogação, que é de 16 obras por dia para cada bibliotecário.

Analisando o relatório que mede a produtividade da Biblioteca Universitária Mario Osorio Marques no Sistema, neste ano a catalogação de registros, inclusões e/ou alterações bibliográficas atingiu a média per capita de 54 por dia entre as três bibliotecárias ao longo do ano de 2017.

É importante ressaltar que as teses e dissertações são catalogadas no SIE e na Biblioteca Digital conforme Resolução VRPGPE nº 02/2011 e monografias defendidas pelos estudantes da Instituição são catalogadas na Biblioteca Digital conforme Resolução VRG nº 02/2011.

Para estas obras estarem à disposição dos usuários outras atividades, além da catalogação, foram realizadas: classificação, indexação, preparação do material para disposição no acervo.

É importante destacar o trabalho realizado para a qualidade do vocabulário de assuntos controlados e autoridades, como análises, verificação e validação no SIE de assuntos e autores, contribuindo para a sua padronização e facilidades de recuperação de informações pelo usuário.

Esta atividade é desempenhada atualmente por 03 (três) bibliotecárias. As mesmas têm a formação exigida para exercerem esta atividade, assim com inscrição ativa em seu devido Conselho.

Observação: Atualmente, uma Bibliotecária está na gerência da Biblioteca, exercendo atividades gerenciais e de planejamento e quando necessário as atividades técnicas.

Média de catalogação por Bibliotecário - 2017

Fonte: SIE 15.02.99.20

5) CAPACITAÇÃO DE USUÁRIOS

A Biblioteca Universitária Mario Osorio Marques da UNIJUÍ, em datas determinadas através de um cronograma específico, promove capacitações para atender a estudantes, funcionários, professores e pesquisadores da comunidade acadêmica. As capacitações têm por objetivo auxiliar e divulgar os serviços e produtos oferecidos pela biblioteca, como também o seu acervo e as fontes de informação. No ano de 2017 foram capacitados 1.321 usuários.

O agendamento pode ser individual ou coletivo, descrevendo qual o tipo de capacitação, orientação ou visita deseja receber. O agendamento se dá pelo telefone (0XX) 55 3332 0407.

Módulos de capacitações ministradas pela Biblioteca Universitária Mario Osorio Marques são:

6) PESQUISA EM BASES DE DADOS

A Biblioteca Universitária oferece o serviço de pesquisa em várias áreas do conhecimento, através das bases de dados disponíveis (CD-ROM e online). Esse serviço atende à comunidade acadêmica. Durante o ano de 2017 foram realizadas 18.092 pesquisas nas Bases da EBSCO, no período de agosto a dezembro e 13.406 buscas na Revista dos Tribunais também nesse período.

Acesso Revista dos Tribunais - 2017

Fonte: Thomson Reuters - RT

Base de Dados de acesso livre:
Biblioteca Digital UNIJUÍ
Seleção de algumas bases de dados de acesso público para auxílio no processo de pesquisa bibliográfica via internet
Bases multidisciplinares
Bases por área de conhecimento
Teses e Dissertações:
Revistas Científicas:
Fontes de acesso livre:

7) LEVANTAMENTO BIBLIOGRÁFICO

O levantamento bibliográfico é um serviço que oferece aos departamentos e aos usuários a busca e recuperação de bibliografias sobre assuntos, temas, autores e obras do acervo das bibliotecas da UNIJUÍ ou em fontes de informação como: Internet, bases de dados, outras bibliotecas e centros de informação.

Esse serviço tem também por objetivo reunir num documento todos os materiais que a Biblioteca Universitária possui sobre determinado assunto ou autor. A maioria dos levantamentos bibliográficos é elaborada para compor os processos de avaliação/reconhecimento de cursos, solicitações dos departamentos e de usuários.

8) COMUTAÇÃO BIBLIOGRÁFICA

A comutação bibliográfica é um serviço que consiste na busca e recuperação de artigos de periódicos, dissertações, teses, anais, entre outros, em bibliotecas, centros de documentação e informação; nacionais ou internacionais, quando não são encontrados nas bibliotecas da UNIJUÍ. O serviço de COMUT é oferecido nas Bibliotecas do Campus Ijuí – Bairro Universitário.

A Comutação Bibliográfica – COMUT da Biblioteca Universitária Mario Osorio Marques faz parte da rede nacional de COMUT/IBICT-CAPES. Esta rede propicia a localização de documentos, obtendo-se cópias de artigos de periódicos e outros documentos em qualquer parte do país, através do Catálogo Coletivo Nacional – CCN, alimentado por cerca de 1.000 bibliotecas brasileiras. A Biblioteca Universitária dispõe do sistema ARIEL para recebimento de documentos, o que torna ágil este serviço.

No ano de 2017 foi atendida uma solicitação realizada pela Universidade Federal de Rio Grande – FURG (capítulo de livro da nossa Editora) e realizamos uma solicitação a outra biblioteca (artigo).

9) CATALOGAÇÃO NA PUBLICAÇÃO

A Catalogação na Publicação é um serviço de auxílio editorial oferecido principalmente à Editora UNIJUÍ e aos Departamentos que publicam trabalhos em anais ou artigos de periódicos. A Biblioteca Universitária cataloga todas as obras publicadas pela editora e também as Teses e Dissertações dos Programas de Pós-Graduação da UNIJUÍ.

Em 2017 foram efetuadas 129 catalogações, sendo 21 para a Editora UNIJUÍ e 108 catalogações para cursos de Pós-Graduação Stricto Sensu.

10) TRANSFERÊNCIA DE MATERIAIS BIBLIOGRÁFICOS ENTRE BIBLIOTECAS

Este serviço é oferecido a todos os usuários das Bibliotecas da UNIJUÍ, e consiste na transferência de materiais bibliográficos de uma Biblioteca para outra dentro das disponibilidades de cada biblioteca. O empréstimo entre bibliotecas é considerado um recurso facilitador de acesso à informação e representa uma integração entre as bibliotecas.

11) COMUNICAÇÃO

A sua finalidade é de avaliar, planejar e executar ações de divulgação da Biblioteca Universitária Mario Osorio Marques, criação de peças gráficas e atualização da homepage.

12) AÇÃO CULTURAL

Recurso de marketing, juntamente com a comunicação e as capacitações, é o responsável pela promoção da Biblioteca e seus serviços. Contribui com a educação do usuário, divulgação da cultura, lazer e incentivo ao hábito de leitura, além de promover a cidadania e transformação social e individual, contribuindo para a formação humanística dos indivíduos.

13) HORA DO CONTO

A Hora do Conto destina-se a crianças e adolescentes das escolas da região e tem por objetivo principal estimular o gosto pela leitura, desenvolver a imaginação e o lúdico. As histórias são narradas utilizando-se recursos como: fantoches, teatro de sombras, cartonas, avental, fantasias e dramatizações. Esta atividade é realizada na Biblioteca Universitária Mario Osorio Marques do Campus Três Passos.

 

14) PARTICIPAÇÃO EM EVENTOS E OUTRAS ATIVIDADES

A Biblioteca não participou de eventos externos no ano de 2017.